logo Podcast Ciência da Nutrição

DICAS

icone_salada.png

Indicação 

#Episódio 30
barra-titulo.jpg
"Importância da Nutrição nas Desordens Estéticas"

 

Acompanhe essa roda de conversa Nutrição, onde falam sobre ervas, especiarias e seus benefícios e aplicações na alimentação voltado para as desordens estéticas, no programa Ciência Interativa no youtube pelo Canal VP - Nutrição Funcional.

barra-titulo.jpg
Artigo "Compostos bioativos para saúde da pele: uma revisão"

 

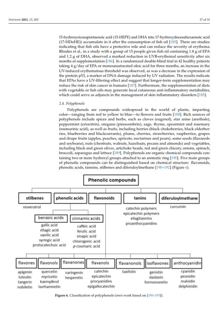
A condição da pele depende muito do estado geral de saúde do indivíduo e uma alimentação equilibrada desempenha um papel importante no bom funcionamento do corpo humano, incluindo a pele. O presente estudo chama a atenção para as substâncias bioativas, ou seja, vitaminas, minerais, ácidos graxos, polifenóis e carotenóides, com foco particular em seus efeitos na condição da pele. O objetivo do estudo foi revisar a literatura sobre os efeitos das substâncias bioativas nos parâmetros da pele como elasticidade, firmeza, rugas, ressecamento senil, hidratação e cor, e definir seu papel no processo de envelhecimento cutâneo.